Algoritmi za obradu grafova i izračunavanje nekih karakteristika grafa

Osnovni pojmovi

Graf

Graf G = ( V, E ) se sastoji od skupa čvorova V i skupa grana E.

Usmeren graf

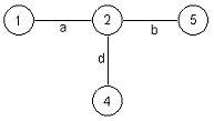
Na slici je prikazan usmeren graf takav da V={1,2,3,4}, E={a,b,c,d}

Grane usmerenog grafa su uređeni parovi čvorova i redosled dva čvora koje povezuje grana je bitan.


slika
Slika 1
 
 

Neusmeren graf

Grane neusmerenog grafa su neuređeni parovi čvorova.

Graf sa slike 2 je neusmeren i čvorovi 2 i 3 su povezani granama b i c.
 

slika2
Slika 2

Težinski graf

Težinski graf je graf čijim granama su pridruženi jedan ili više realnih brojeva ( kao vrednost rastojanja, težina, cene,...).
 

Na slici 3 je dat težinski graf.
slika3
Slika 3

Stepen čvora

Stepen   d( v )   čvora v je broj grana susednih čvoru v (broj grana koje direktno povezuju čvor v sa nekim drugim čvorom).

U usmerenom grafu razlikuju se ulazni stepen (broj grana čiji kraj je čvor v) i izlazni stepen (broj grana za koje je čvor v početak).
slika4
Slika 4

Na slici 4, stepen čvorova je:
 
čvor  stepen ulazni stepen izlazni stepen
1 2 2
2 3 2 1
3 3 2 1
4 2 1 1

Bipartitivni graf

Bipartitivni graf je graf čiji se čvorovi mogu podeliti na dva disjunktna podskupa tako da u grafu postoje samo grane između čvorova iz različitih podskupova.
Na primer, slika 5 prikazuje bipartitivni graf sa skupom čvorova koga čine dva disjunktna podskupa {1, 2} i {3, 4, 5}, gde svaka grana grafa povezuju čvorove iz različitih podskupova.
slika5
Slika5

Put

Put od v1 do vk je niz čvorova v1, v2, . . . ,vk povezanih granama (v1, v2), (v2, v3), . . . , (vk-1, vk )
Obično se i ove grane smatraju delom puta. Put je prost, ako se svaki čvor pojavljuje u njemu samo jednom.

Čvor je u dostižan iz čvora v ako postoji put (usmeren/neusmeren) od v do u. Po definiciji, čvor u je dostižan iz u.
 

v3, e1, v1, e2, v4, e5, v2, e6, v5, e3, v1, e2, v4 ( grana e2 se pojavila dva puta)
slika6
Slika 6
 

1, c, 3, f, 4, e, 2, d, 3 ( čvor 3 se pojavio dva puta)
slika7
Slika 7

Ciklus

Ciklus je put čiji se prvi i poslednji čvor poklapaju. Ciklus je prost, ako, sem prvog i poslednjeg čvora se niti jedan drugi čvor ne pojavljuje u putu dva puta.
Prema slici 8 ciklusi su reprezentovani nizom čvorova slika
Slika 8

Stablo ili drvo

je povezani graf koji (u svom neusmerenom obliku) ne sadrži cikluse.
stablo
Stablo

Hamiltonov ciklus ili Hamiltonov put

je prosti ciklus ili put u kom se svaki čvor grafa pojavljuje tačno jednom.
Na primer: na slici 9 (slici 3) niz čvorova A, B, C, D, E, A specificira Hamiltonov ciklus.
slika9
Slika 9

Ojlerov ciklus

je ciklus koji svaku granu grafa sadrži tačno jednom.

Ojlerov graf je povezan graf čiji čvorovi imaju paran stepen.

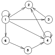
Graf na slici 10 sadrži Ojlerov ciklus predstavljen nizom čvorova 1, 2, 3, 5, 4, 1, 3, 4, 2, 5, 1.
slika10
Slika 10

Podgraf

Graf H=(U,F) je podgraf grafa G=(V,E) ako je skup U podskup skupa V i ako je skup F podskup skupa E.

Graf H sa slike 12 je podgraf grafa G prikazanog na slici 11.
slika11
Slika 11
slika12
Slika 12

Indukovani podgraf

  Graf G=(V,E) ima indukovani podgraf H=(U,F) ako H je podgraf grafa G tako da U je podskup od V i skup grana F sadrži sve grane skupa E tako da oba čvora grane su iz skupa čvorova U. Graf sa slike 14a ima kao indukovani podgraf graf sa slike 14b.

images/slikaa
Slika 14 a
images/slikab
Slika 14 b

 

Strukture podataka koje se koriste za predstavljanje grafova

 

Uobičajena su dva načina predstavljanja stabla:

    matricom povezanosti

    listom povezanosti.

 

Matrica povezanosti grafa G je kvadratna matrica A reda n (gde |V|=n), gde A[i,j]=1 ako postoji grana od čvora vi  do čvora vj. Ostali elementu su nule.  Ako graf G je neusmeren, matrica je simetrična. Ako je broj grana u G mali, onda većina elemenata matrice će biti nula, ali će ona i dalje zauzimati prostor veličine n*n, sto je nedostatak ovog tipa reprezentacije ako se koristi za retke grafove.

Lista povezanosti pak omogućuje da se ne vrši eksplicitno predstavljanje nepostojećih grana. Svakom čvoru pridružuje se povezana lista koja sadrži sve grane ka susednim čvorovima. Svaki element liste (tj. jednodimenzionog niza) sadrži indeks čvora grafa G i pokazivač na njegovu listu čvorova. Ako G je statički graf (tj. ne vrše se umetanja, brisanja), onda se za realizaciju liste povezanosti koristi niz dužine |V|+|E|, gde prvih |V| elemenata su pridruženi cvorovima grafa, a vrednost na poziciji  j pridružena čvoru  vj sadrži indeks početka spiska čvorova susednih čvoru  vj.

 

Lista povezanosti

 7 910 - - - 2 3 4  5 6
 1 2 3 4 5 6 7 8 9 1011
1. član liste je 7, te na 7. poziciji je početak čvorova koji su vezani sa čvorom 1, tj. korenom.
2. član liste je 9, te na 9. poziciji je početak čvorova koji su vezani sa čvorom 2.

 

Opis situacije za graf sa n čvorova i m grana Pogodna struktura podataka
provera da li grana (x, y) pripada grafu         matrica povezanosti (brže, zbog direktnog pristupa, tj. O(1) nasuprot O(duž.liste))
retki grafovi lista povezanosti (manje memorije tj.  (m+n) nasuprot n*n)
umetanje grana ili uklanjanje grana matrica povezanosti ( O(1) nasuprot O(d)) 
obeležavanje ili numeracija frana lista povezanosti(O(n+m) nasuprot O(n*n) da bi se locirale grane)
obilazak grafa lista povezanosti (brže, tj. O(m+n) nasuprot O(n*n))

 

 

 

 

Zadaci koji se odnose na grafove

52. Implementirati DFS algoritam za obilazak grafa G=(V,E) koji je zadat matricom povezanosti (npr. a[i][j]=1, ako postoji grana (i,j), inace a[i][j]=0) tako da ispise cvorove u redosledu obilaska.
#include 
#define MAX 10  /*maksimalan broj cvorova*/
void poseti(int x, int a[][MAX], int n, int m[]);
/*obilazak grafa sa n cvorova zadatog matricom a pocev od neposecenog cvora x;
pri obilasku u nizu markiranih cvorova m vrednost clana m[x] ce postati 1, kad se poseti cvor x*/

void DFS(int a[][MAX], int n); /*DFS obilazak grafa G sa na cvorova zadatog matricom povezanosti a*/

void ucitaj_matricu(int a[][MAX], int n); //ucitavanje grana grafa sa stdin

main()
{int a[MAX][MAX];
 int n; //broj cvorova grafa

  scanf("%d", &n);
  ucitaj_matricu(a,n);
  DFS(a, n);
}

void poseti(int x, int a[][MAX], int n, int m[])
{
   int y; //cvor koji je u grafu potencijalni sused cvora x 
  printf(" %d ", x); //stampa se neposeceni cvor od kog  krece nova poseta DFSom
  m[x]=1;   //markira se cvor x kao posecen
 
//ako postoji susedni cvor y koji nije markiran(m[y]=0), rekurzivno se poziva poseti za y
for (y=0; y

53. Implementirati BFS algoritam za obilazak grafa G=(V,E) koji je zadat matricom povezanosti
(npr. a[i][j]=1, ako postoji grana (i,j), inace a[i][j]=0) tako da ispise cvorove u redosledu obilaska.   



54. Implementirati algoritam koji ce za graf G=(V,E) kreirati listu topološki uređenih čvorova grafa.  Graf je zadat matricom povezanosti
(npr. a[i][j]=1, ako postoji grana (i,j), inace a[i][j]=0) tako da ispise cvorove u redosledu obilaska.   


#include 
#define MAX 10  /*maksimalan broj cvorova*/

void topSortPoseti(int x, int a[][MAX], int n, int m[], int lista[], int *k);
/*obilazak grafa sa n cvorova zadatog matricom a pocev od neposecenog cvora x;
pri obilasku u nizu markiranih cvorova m vrednost clana m[x] ce postati 1, kad se poseti cvor x.
Kada se za cvor x zavrsi poseta svih nemarkiranih susednih cvorova, cvor x se dodaje na pocetak liste l na poziciji *k */

void topsort(int a[][MAX], int n, int lista[]); /*DFS obilazak grafa G sa na cvorova zadatog matricom povezanosti a i formiranje topoloskog
redosleda cvorova u nizu lista*/

void ucitaj_matricu(int a[][MAX], int n); //ucitavanje grana grafa sa stdin
void trampa(int a[], int i, int j); //trampa clana a[i], a[j]

main()
{int a[MAX][MAX];
 int n; //broj cvorova grafa
 int lista[MAX];

  scanf("%d", &n);
  ucitaj_matricu(a,n);
  topsort(a, n, lista);
}

void topSortPoseti(int x, int a[][MAX], int n, int m[])
{
   int y; //cvor koji je u grafu potencijalni sused cvora x 

  m[x]=1;   //markira se cvor x kao posecen
 
//ako postoji susedni cvor y koji nije markiran(m[y]=0), rekurzivno se poziva topSortPoseti za y
for (y=0; y



53. Dat je usmeren graf G=(V,E), tako da V={A, B, C, D, E, F, G}, E={ (A,B),  (A,D), (B,E), (B,F), (D,B), (E,D), (F,C), (F,E), (F,G), (G,C)   }.
Primeniti DFS obilazak i za svaki čvor iz V prikazati početno vreme/završno vreme. Početno vreme predstavlja vreme prvog nailaska na čvor u DFS algoirtmu. Završno vreme se odnosi na vreme kada su obrađeni svi susedi čvora.
 

REŠENJE:

Redosled obilaska čvorova grafa DFSom je: ABEDFCG, te je otuda numeracija a/b (gde a je redosled prvog nailaska na čvor, b je redosled napuštanja čvora)

  • A 1/14
  • B 2/13
  • C 8/9
  • D 4/5
  • E 3/6
  • F 7/12
  • G 10/11
SLOŽENOST: Koristi se DFS obilazak koji sadrži jednu globalnu promenljivu vreme koja se postavi na nulu na početku rada algoritma. Kada se prvi put rekurzivno pozove DFS nad čvorom x, onda se postavi početno vreme čvora x, a kad se iscrpi lista susednosti čvora x, na kraju rekurzivnog poziva, postavi se /završno vreme. Inače, globalna promenljiva vreme se uveća za 1 pri postavljanju svakog početnog i završnog vremena.
   DFS potprogram se poziva za svaki čvor poziva samo jednom (samo kad nije posećen), što znači najviše |V| puta. Pri svakom pozivu broj iteracija u unutrašnjoj petlji zavisi od načina određivanja suseda (za matričnu reprezentaciju je složenost onda O(|V|2), a za reprezentaciju listom povezanosti je O(|E|). 54. Dat je usmeren graf G=(V,E), tako da V={A, B, C, D, E, F, G, H}, E={ (A,B), }. Odrediti: DFS stablo grafa, transponovani graf, jake komponente povezanosti.

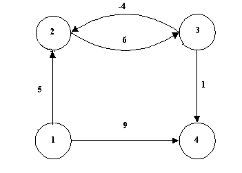
REŠENJE: Neusmeren graf je povezan... 60.Granama grafa G=( {1,2,3,4}, E) su pridružene težine kao u tabeli:
 
grana težina
(1,2) 2
(1,3) 8
(2,3) 3
(2,4) 4
(3,4) 7
(4,1) 5

Odrediti sve najkraće puteve (all shortest paths) između čvorova ovog grafa.

REŠENJE: Matrica Wi se formira prema algoritmu izloženom i knjizi u odeljku 6.7

 

 

 

   Algoritam SviNajkraciPutevi (W)

     { for (m=0; m<|V|; m++)

        for(x=0; x<|V|; x++)

          for(y=0;y<|V|; y++)

                if ( W[x,m] +W[m,y] <W[x,y])   W[x,y]= W[x,m] +W[m,y] ; /*nadjen je kraci put od x do y od predjasnje postavljene duzine*/

}
 

W 0 1 2 3 4
1 0 2 8 beskonačno
2 beskonačno 0 3 4
3 beskonačno beskonačno 0 7
4 5 beskonačno beskonačno 0


 
 

W 1 1 2 3 4
1 0 2 8 beskonačno
2 beskonačno 0 3 4
3 beskonačno beskonačno 0 7
4 5 7 13 0

     7=5+2                13=5+8

 


 
 

W 2 1 2 3 4
1 0 2 5 6
2 beskonačno 0 3 4
3 beskonačno beskonačno 0 7
4 5 7 10 0

5=2+3    6=2+4    10=5+5
 
 

W 3 1 2 3 4
1 0 2 5 6
2 beskonačno 0 3 4
3 beskonačno beskonačno 0 7
4 5 7 10 0


 
 

W 4 1 2 3 4
1 0 2 5 6
2 9 0 3 4
3 12 14 0 7
4 5 7 10 0

 

9=4+5   12=7+5  14=7+7

 

61. Zadat je težinski graf iz prethodnog zadatka sa nenegativnim težinama grana.  Naći središte grafa.

REŠENJE:Središte grafa je čvor v takav da ima najamanju ekscentričnost. Ekscentričnost čvora v je maksimum najkraćih rastojanja od svih čvorova grafa G do čvora v, tj.
ecc(v) = max { W[ i, v] | za svaki čvor i  }

    Koraci:
  1. primenom algoritma Svi_najkraci_putevi se nadje matrica W najkracih rastojanja izmedju svih parova cvorova
  2. nadju se maksimumi po kolonama matrice W
  3. nadje se vrednost minimuma ovih maksimuma i proglasiti za srediste grafa onaj cvor kojem odgovara ta vrednost
U konkretnom slučaju grafa iz prethodnog zadatka je pronadjena matrica W u četvrtoj iteraciji:
 
W 4 = W 1 2 3 4
1 0 2 5 6
2 9 0 3 4
3 12 14 0 7
4 5 7 10 0
    Maksimumi po kolonama su:
  • ecc(1) = 12
  • ecc(2) = 14
  • ecc(3) = 10
  • ecc(4) = 7
Odavde se zaključuje da središte grafa je čvor 4, zato što on ima najmanju ekscentričnost (čija vrednost jeste 7).
 

62. Konstruisati algoritam linearne složenosti koji u povezanom neusmerenom grafu G=(V,E) pronalazi čvor takav da i nakon izbacivanja tog čvora iz grafa, opet graf ostaje povezan.

REŠENJE:

Graf je povezan ako (u njegovom neusmerenom) obliku postoji put između ma koja dva čvora. Neusmereni oblik usmerenog grafa G=(V,E) jeste graf G bez orjentacije nad granama.

graf G i graf G' nakon izbacivanja nekog cvora

PODSEĆANJE NA DFS obilazak graf G=(V,E):
Dakle, DFS algoritmom se obilazi graf u dubinu, a ideja je da se za svaki čvor x iz V tokom obilaska podesi indikator, tj.  x.indikator se postavi na vrednost 1 (markiran je čvor x) kad se u obilasku dođe do x. Obilazak počinje iz proizvoljnog čvora v, koji se naziva i koren pretrage u dubinu (zato je on i koren DFS stabla). Koren se označava kao posećen. Potom se bira ma koji nezonačeni čvor w susedan korenu, te se iz čvora w rekurzivno zapocinje pretraga u dubinu (DFS). Iz nekog nivoa rekurzije se izlazi kad se naiđe na čvor čiji su svi susedi već označeni. Ako se u trenutku okončanja pretrage iz čvora w, desilo da su svi susedi od v označeni, onda je to kraj pretrage. Inače, bira se sledeći ma koji neoznačeni sused x čvora v i izvršava pretraga u dubinu počev od x.

Kao rezultat primene DFS, gradi se specijalno povezujuće stablo, tzv. DFS stablo koje ima primenu u mnogim algoritmima koji testiraju neka svojstva grafa.

graf i odgovarajuce DFS, povezujuce stablo

Koren pretrage u dubinu, tj. čvor v jeste koren DFS stabla.

    Obilazeći graf G pretragom u dubinu (DFS) gradi se stablo i označavaju čvorovi.
  • Pri tome neki čvorovi će biti listovi DFS stabla.
  • Na početku se stavi da svaki v iz V jeste list, tj. v.indikator=1
  • Ako je čvor x iz V povezan sa bar jednim neoznačenim čvorom, onda je to dovoljno da odbacimo x kao list, tj. x.indikator=0 (jer se nalazi nivo iznad lista)
  • na kraju, ako se izbaci neki čvor koji jeste list DFS stabla, novi graf G' (dobijen iz G bez x) će ostati povezan

 
Algoritam Izbaciti(G,s)
ulaz: G , s (cvor neusmerenog i povezanog grafa G=(V,E) )
izlaz: za svaki v vazi da v.indikator=1  ako cvor v moze biti izbacen iz G
{
     oznaciti s;
      s.indikator=1;

      for each (s,v) 
        if not oznacen(v)  
             { Izbaciti(G,v);
               v.indikator=0; 
             }               

}


Vremenska složenost ovog algoritma (koji koristi DFS pretragu) odgovara vremenskoj složenosti DFS algoritma za povezane neusmerene grafove, pa zato jeste linearna po dimenziji ulaza, tj. svaka grana se pregleda do dva puta, te je složenost proporcionalna broju grana, dok  broj rekurzivnih pokretanja je |V|.

Da li izbacivanje čvora može da se obavi za svaki povezan graf G? Zašto?

 Naime, za svaki povezan graf postoji odgovarajuće DFS stablo. Svako stablo ima bar jedan list i to stablo ostaje povezano kada se list izbaci, te povezani neusmeren graf zaista sadrži čvor koji se može izbaciti, a da novi graf ostane povezan.

63. Zadat je težinski graf G=(V,E) sa nenegativnim težinama grana. Za zadata dva čvora i,j skupa V pronaći put minimalne dužine (a ne samo težinu tog puta).

REŠENJE:
Izmena algoritma Svi_Najkr_putevi (glava 6.7 knjige) , tako da se formira matrica prethodnika P gde element P[i,j] pamti čvor koji je neposredni prethodnik čvora  j  na najkraćem putu od čvora i.

Jasno je da:
1. P[i,j]=0 ak je i==j ili ako W[i,j]=beskonacno
2. P[i,j]=i ako i !=j i ako w[i,j] < beskonacno
 

Dakle, najpre se algortmom Svi_najkraci_putevi u tri for ciklusa ažurira polazna matrica težina W, tako da na kraju čuva samo najkraće težine (rastojanja) između dva čvora. Tokom ažuriranja matrice W, vrši se i formiranje matrice čvorova P, tako što:

    ako je u k iteracija spoljašnjeg for ciklusa od svih puteva medju čvorovima i,j koji prolaze kroz međučvorove 1,2,..k nađen trenutno najkraći put, onda:
  1. ako se čvor k ne nalazi na tom putu, onda su svi medjučvorovi iz skupa {1,2,..,k-1}, pa je to ista ocena najkraćeg puta dobijena iz prethodne (k-1).ve iteracije sa istim prethodnikom P[i,j]
  2. ako se čvor k nalazi na tom putu od i do j, onda ovaj put može da se podeli na puteve od i do k, i na put od k do j. Put izmedju čvorova i, k prolazi kroz medjučvorove 1..k-1 i on je deo najkraćeg puta od i do j u k-toj iteraciji, pa je kao u dokazu sa predavanja to i najkraci put od i do k. Slično se pookazuje da je put od k do j najkraći put od k do j  koji prolazi kroz čvorove 1..k-1.
    Dakle, kako je drugi segment puta zajednički, onda prethodnik u k-toj iteraciji P[i,j] čvora j na najkracem putu je istovetan kao i prethodnik P[k,j] iz (k-1)-ve iteracije
    Prema tome, najkraći put od čvora i do čvora j kroz čvorove 1..k se dobija kao manji od najkraćeg puta između i,j kroz medjučvorove 1,..., k-1 i zbira najkraćeg puta između čvorova i,k i puta izmedju k,j kroz čvorove 1..k-1 sto i jeste u jezgru najugnjezdenijeg for ciklusa.

Potom se od dobijene matrice P rekonstruiše najkraći put u proceduri putanja.

BSO, indeksiramo vrste i kolone od 1..n umesto od 0 do n-1

Algoritam Svi_najkraci_putevi (W)
Ulaz:W(matrica tezina)
Izlaz: W(matrica duzina najkracih puteva), P(matrica prethodecih cvorova na najkracim putevima)


{


for (k=1; k<=n; k++)
  for (i=1; i<=n; i++)
   for (j=1; j<=n; j++)

     if (  W[i,j]>W[i,k]+W[k,j]  ) 
       {  P[i,j]=P[k,j];
          W[i,j]=W[i,k] + W[k,j]
      }
}
/*iz matrice P rekonstruisemo najkraci put izmedju dva zadata cvora  i,j */
Algoritam PUTANJA(i,j)


{
     if (i==j) 
       stampati (i);  /*povratak*/ 
     else
        if  (P[i,j]==0) stampati "(Nema puta izmedju i, j)";
        else       
               {PUTANJA(i, P[i,j] );
               stampati (j);
               }
}


Na primer, neka rezultujuća matrica P (po grafu iz zadatka 30 i 31) izgleda:
0 1 2 2
4 0 2 2
4 4 0 3
4 1 2 0

Tad je:
prvi poziv npr. Putanja (1,4)
kako P[1,4] !=0, drugi poziv je Putanja (1,2), jer P[1,4]=2
kako P[1,2] !=0, drugi poziv je Putanja (1,1), jer P[1,2]=1
kako 1==1, stampa se 1
dalje, štampa se 2
dalje, štampa se 4
DAKLE, najkraći put izmedju čvorova 1 i 4 jeste dužine 6 (po zadatku 30), a ima putanju (((1),2),4)

 

64. Zadat je težinski usmeren graf G=(V,E) sa nenegativnim težinama grana. Konstruisati algoritam za određivanje ciklusa minimalne težine u G.

 

REŠENJE:

  Iskoristićemo rešenje prethodnog zadatka. Naime, ciklus je put koji počinje i završava se u istom čvoru. Algoritam za nalaženje svih najkraćih puteva iz prethodnog zadatka se može iskoristiti za nalaženje najkraćeg ciklusa, tj. puta od čvorova i  do čvora j preko čvorova 1, 2,...,k (najkraći k-put),  redom za k=0,1,2,...,n=|V|.

 Jer, nakon izvršenja algoritma za nalaženje svih najkraćih puteva iz prethodnog zadatka, težina (dužina, cena, ...) najkraćeg ciklusa je jednaka vrednosti najmanjeg elementa na dijagonali matrice W, tj. W[k,k] za k=0,1,2,...,n-1,  gde n=|V|.

Ako je potrebno naći ne samo težinu najkraćeg ciklusa, već i sam put, onda se kao u prethodnom zadataku formira matrica prethodnika P gde element P[i,j] čuva čvor koji je neposredni prethodnik čvora j na najkraćem putu od cvora i.

BSO, indeksiramo vrste i kolone od 0..n-1 umesto od 1 do n

Algoritam Najkraci_ciklus (W)
Ulaz:W(matrica tezina)
Izlaz: W(matrica duzina najkracih puteva), P(matrica prethodecih cvorova na najkracim putevima), 
       min (duzina najkraceg ciklusa)


{


for (k=0; k<n; k++)
  for (i=0; i<n; i++)
   for (j=0; j<n; j++)

     if (  W[i,j]>W[i,k]+W[k,j]  ) 
       {  P[i,j]=P[k,j];
          W[i,j]=W[i,k] + W[k,j]
      }
min=W[0,0]; k=0;
for(i=1;i<n;i++) if (W[i,i]<min) {min=W[i,i]; k=i;}
PUTANJA(k, P[k,k]);
 
}
/*iz matrice P rekonstruisemo najkraci put izmedju dva zadata cvora  i,j */
Algoritam PUTANJA(i,j)


{
     if (i==j) 
       stampati (i);  /*povratak*/ 
     else
        if  (P[i,j]==0) stampati "(Nema puta izmedju i, j)";
        else       
               {PUTANJA(i, P[i,j] );
               stampati (j);
               }
}

 

65.   Zadat je težinski usmeren graf G=(V,E) u kom neke grane imaju negativnu težinu. Konstruisati efikasan algoritam za utvrđivanje da li graf sadrži ciklus negativne težine u G (dovoljno je dati rezultat u obliku odgovora DA/NE).

REŠENJE:

   Primenimo ponovo algoritam Svi_Najkr_putevi (glava 6.7 knjige), ali ga modifikujmo tako da algoritam vrati odgovor DA kada naidje na dijagonalni element matrice koji je negativan.

   BSO, indeksiramo vrste i kolone od 0..n-1 umesto od 1 do n

Algoritam Negativan_ciklus (W)
Ulaz:W(matrica tezina)
Izlaz: DA/NE u slucaju da ima/nema negativnog ciklusa

{


for (k=0; k<n; k++)
  for (i=0; i<n; i++)
   for (j=0; j<n; j++)

     if (  W[i,j]>W[i,k]+W[k,j]  ) 
          W[i,j]=W[i,k] + W[k,j]
      

for(i=0;i<n;i++) if (W[i,i]<0) return DA;
return NE;
 
}

 

6x.  Zadat je aciklički usmeren graf G=(V,E).  Konstruisati algoritam linearne složenosti koji utvrđuje da li u G postoji neki prost put koji sadrži sve čvorove grafa.

  REŠENJE:

      Put je prost, ako se svaki čvor pojavljuje u njemu samo jednom.

Hamiltonov put je prosti put u kom se svaki čvor grafa pojavljuje tačno jednom.

 U ovom zadataku zahtev je da se konstruiše algoritam za pronalazak Hamiltonovog puta u grafu G.

  Ideja je da se konstruiše topološki redosled čvorova grafa G, a potom se proveri da li postoji put tako što se proveri da li susedni čvorovi u topološkom redosledu jesu putno povezani. Ukoliko su povezani, onda Hamiltonov put čine topološki uređeni čvorovi.

Problem topološkog sortiranja je problem formiranja rasporeda čvorova u grafu G tako da ako se svi čvorovi grafa numerišu brojevima
od 1 do n=|V|, onda ako čvor v je numerisan sa k svi čvorovi do kojih postoji usmeren put iz v imaju numeraciju veću od k.

U glavi 6.4 knjige je prikazan algoritam za topološko sortiranje acikličkog usmerenog graga G.

  Algoritam TOPSORT(G)

 ulaz: G

izlaz: v.Num (numeracija cvora v u toploskom redosledu)

  {

        pomocu DFS obilaska stabla naci ulazni stepen svakog cvora, tj. v.InDeg

      Broj=0;  /*tekuci redni broj*/

      for(i=1; i<=n; i++)    if (v[i].InDeg==0) staviti v[i] u listu;

      while (lista nije prazna)
        {

            uzmi cvor v sa liste;

            Broj++;     v.Num=Broj;

            for svaka grana (v,w)
                { w.InDeg--;
                  if (w.InDeg==0)  stavi w u listu;
                }

        }

 }

 Algoitam toploškog sortiranja je složenosti O( |E| + |V| ), tj. linearne složenosti kod grafova.

67. Zadat je težinski graf G=(V,E) čije grane mogu imati i negativne težine. Naći najkraća rastojanja od polaznog čvora grafa G do svih ostalih (bez smanjenja opštosti obeležimo taj čvor sa 1).

graf sa nenegativnim tezinama

REŠENJE:
 

  Koristimo Dijkstrin algoritam za nalaženje težina najkraćih puteva od zadatog čvora 1 do ostalih čvorova u grafu (glava 6.5 u knjizi) tako što ga modifikujemo da radi i nad težinski grafom G=(V,E) čije grane mogu imati i negativne težine.

 

Algoritam Dijkstra_negativni(G,W)


ulaz: G=(V,E) (tezinski graf sa negativnim tezinama), W(matrica tezina, indeksirana po i=1..|V| ) )
izlaz:D (niz  gde d[i] je najkrace rastojanje od polaznog cvora 1 do cvora i, gde i=1..|V| )
         T(niz gde t[i]  je cvor koji je prethodnik cvora i na najkracem putu od  cvora 1 )


{


     for (i=2; i <= n; i++)
     {
          d[i]=w[1,i];
          if (w[1,i] != beskonacno)  t[i]=1;
          else t[i]=0;
     }           


     for (k=1; k<=n-1; k++) 
         for svaka grana (u,v) 
             if (d[u] +w[u,v] < d[v])  
              {
                   d[v]=d[u]+w[u,v];
                    t[v]=u;
               }


    for svaka grana (u,v) 
       if (d[u] +w[u,v] < d[v])  return false;
return true;


}
Na vremensku složenost algoritma utiču dva for ciklusa gde se za k=1..n-1 ažurira za svaka granu niyove D,T (ako je potrebno), te je onda složenost O( n |E| ).

68. Dat je usmereni graf G=(V,E) sa skupom čvorova V={1,2,3,4,5,6,7,8,9} i skupom grana E sa težinama kao na slici. Odrediti težine najkraćih puteva od čvora 1 do ostalih čvorova u grafu.

REŠENJE Koristimo Dijkstrin algoritam za nalaženje težina najkraćih puteva od zadatog čvora 1 do ostalih čvorova u grafu (glava 6.5 u knjizi).

 

Algoritam Najkr_putevi (G,v)
ulaz: G=(V,E) (tezinski usmeren graf), v (polazni cvor)
izlaz: za svaki cvor w je sa w.SP oznacena tezina najkraceg puta od v do w


(* uz pretpostavku da su sve tezine grana grafa nenegativne *)
begin
    for svi cvorovi w do
         w.oznaka=false;
         w.SP=*; (* za sada tezina je beskonacna *)


    v.SP=0;
    while postoji neoznacen cvor do
        neka w je neoznacen cvor sa najmanjom vrednoscu w.SP
        w.oznaka=true;
        for sve grane (w,z)  takve da z je neoznacen do
             if w.SP + tezina(w,z) < z.SP then  z.SP=w.SP + tezina(w,z);


end

Prikaz postupka i rešenje je naveden u tabeli .

Najpre se popuni 1. red tabele tako da se unesu vrednosti težina grana sa slike grafa.
    Potom se izabere njamanja težina te vrste. Konkretno to je ovde vrednost 2  čvora 8.
Potom se označi čvor 8 i formira 2. red tabele u kom se menjaju težine onih puteva koje bivaju kraće ako se u njih uključi čvor 8.

I tako redom sve dok postoji neoznačen čvor.

 
 
 
označeni čvor w 
(najmanje SP)
2 3 4 5 6 7 8 9
1 - 15 14 10 11 6 * 2 *
1,8 8 11 14 10 11 5 10 2 7
1,6,8 6 11 14 10 9 5 9 2 7
1,6,8,9 9 10 14 10 9 5 9 2 7
1,5,6,8,9 5 10 14 10 9 5 9 2 7
1,,5,6,7,8,9 7 10 14 10 9 5 9 2 7
1,2,5,6,7,8,9 2 10 12 10 9 5 9 2 7
1,2,4,5,6,7,8,9 4 10 12 10 9 5 9 2 7
1,2,3,4,5,6,7,8,9 3 10 12 10 9 5 9 2 7







 

69. Neka G=(V,E) je neusmeren graf. Skup grana F podskup od U naziva se skup povratnih grana ako svaki ciklus u G sadrži bar jednu granu iz F. Konstruisati algoritam za nalaženje minimalnog skupa povratnih grana.

 REŠENJE: 

   Povezujuće stablo neusmerenog grafa je njegov podgraf koji je stablo i sadrži  sve čvorove iz G.

Kako svaki ciklus u G mora da sadrži jednu granu iz skupa grana F => skup grana E\F ne sadrži niti jedan ciklus. Dakle, što je manji skup F, to je veći skup E\F.

  Maksimalni skup grana grafa bez ciklusa formira povezujuće stablo kod povezanih grafova (odnosno povezujuću šumu kod nepovezanog grafa). Dakle, minimalni skup F je komplement ma kog povezujućeg stabla grafa. (videti glavu 6.6 udžbenika).

70. Neka e je grana maksimalne težine u nekom ciklusu grafa G=(V,E). Dokazati da postoji MCST grafa G'=(V, E\{e}) koje je istovremeno i MCST grafa G.

   REŠENJE:

PODSEĆANJE:

Prema glavi 6.6 knjige Algoritmika MCST (minimum-cost spanning tree) je minimalno povezujuće stablo, tj. povezujuće stablo čija suma težina (cena) grana je minimalna.

 U knjizi je prikazan algoritam za konstrukciju MCST koji nalikuje Dijkstra algoritmu za nalaženje najkraćih puteva od zadatog čvora grafa. Složenost algoritma je O( (|E|+|V|)  log |V|)

Neka T je MCST zadatog grafa G koje sadrži  granu e=(x,y) najveće težine u nekom ciklusu C. Ako se ukloni grana e, onda iz stabla T nastaju stabla T1, T2, tako da je na primer čvor x u T1, čvor y u T2.
Neka P je put od x  do y  koji nastaje kada se iz cilusa C ukloni grana e. Na tom putu postoji grana e1 koja povezuje stabla T1 i T2, tj. grana čiji jedan kraj mora biti u T1, a drugi kraj u T2. Težina grane e1 jednaka je težini grane e (jer ako bi težina grane e1 bila manja od težine grane e, onda bi povezujuće stablo T bez grane e koje sadrzi granu e1 imalo manju cenu od stabla T).

   Dakle, stablo (T\{e}) sa granom {e1} je MCST, ali ne sadrzi granu e.

71. Neka je G=(V,E) neusmeren težinski graf i neka T=(V,F) je podgraf koji se sastoji od svih grana na najkraćim putevima od čvora x iz V. Ako se težine grana G povećaju za jednu istu konstantu w, da li T ostaje i dalje stablo najkraćih puteva od x.

REŠENJE:  Odgovor je NE.

Na primer, neka u grafu T sa korenom x i čvorovima x, y, z (trougao XYZ)

      grana (x,y) ima težinu 2
      grana (x,z) ima težinu 5
      grana (y,z) ima težinu 2

To znači da primenom Dijkstra algoritma nad G smo imali da u odnosu na granu  (x,z) kraći put od x do z preko čvora y ima težinu 4=2+2

Neka je w=5. Dakle, sada u grafu T sa korenom x

      grana (x,y) ima težinu 7
      grana (x,z) ima težinu 10
      grana (y,z) ima težinu 7

To znači da put od x do z preko čvora y ima težinu 14=7+7, ali od njega je kraća  grana (x,z) sa težinom 10

 

72. Neka G=(V,E) je neusmeren povezan graf koji ima k čvorova i svi su neparnog stepena. Dokazati da broj k je paran.

     Neka d(1), d(2), ..., d(k) su stepeni čvorova. Kako su oni neparni brojevi, možemo ih predstaviti kao d(i)=2*xi +1, gde xi su celi brojevi
Otuda zbir stepena svih k čvorova DEG=d(1) + d(2) + ... + d(k) = 2*(x1 + x2 + xk ) + k (*)

LEMA: DEG je paran broj.
  Dokaz leme: Neka broj grana grafa |E|=s. Tada DEG=2*s, jer svaka grana sadrži tačno dva čvora i pri računanju zbira stepena svih čvorova (DEG) svaka grana se broji tačno dva puta, te je DEG dva puta veći od ukupnog broja grana.

Dakle, prema (*) i prema lemi važi:

    DEG=DEG
   2*(x1 + x2 + xk ) + k  = 2*s
   k =  2*(s- (x1 + x2 + xk )  )  

Odavde zaključujemo da k je paran broj.

 

 

73. Dat je usmereni graf G=(V,E) i njegov čvor v skupa V. Konstruisati algoritam složenosti O( |E| + |V| ) koji ispituje da li G jeste korensko stablo sa korenom v. Smatrati da su u korenskom stablu grane usmerene od korena ka listovima.

REŠENJE:

Korensko stablo jeste usmereno stablo koje poseduje posebno izdvojen čvor koji se zove koren, a sve grane su usmerene od korena.

graf i odgovarajuce korensko stablo

Kako ulazni stepen svakog čvora nije veći od jedan, usmeren graf je stablo akko je povezan i nema (usmerene) cikluse.
Na zadati usmeren graf G=(V,E) treba primeniti algoritam za obilazak stabla smatrajuci pri tome da je cvor v njegov koren i brojeci cvorove kroz koje se prolazi.
Ukoliko pri tom obilasku broj čvorova kroz koje se prošlo bude veći od |V|, graf G ima ciklus(e), pa nije stablo;
ukoliko se obilazak zavrči sa brojem čvorova kroz koje se prošlo manjim od |V|, graf G nije povezan, pa nije stablo;
inače graf G jeste stablo.

 

 Algoritam obilazak1(G,v})


ulaz: G=(V,E) (usmeren graf), v (cvor grafa G)
izlaz:  broj ( brojac cvorova kroz koje se proslo)
 
{
markiraj v;
broj=broj+1 ;
ako je broj manji ili jednak od broja cvorova grafa G onda 
   za sve grane (v,w) do
         if markiran(w) return -1;
         else
           obilazak1(G,w); 
return broj;
}


 Algoritam  provera1(G,v)
 ulaz: G=(V,E) (usmeren graf), v(cvor grafa G)
 izlaz: odgovor na pitanje da li je graf G sa korenom v stablo
     {
        broj:=0 ;
        obilazak1(G,v);
        ako je broj manji od broja cvorova grafa G onda
               write('graf G nije povezan'); 
        ako je broj  veci od broja cvorova grafa G onda write('graf G ima ciklus(e)')  
        inace write('graf G je stablo'); 
     }

 

 

74. Neka je G = (V,E) usmereni graf i neka T je DFS stablo grafa G. G sadrži usmereni ciklus ako i samo ako G sadrži povratnu granu (u odnosu na T). Dokazati.

REŠENJE:

DFS stablo usmerenog grafa i njegove grane

DFS pretraga se vrši i kod usmerenih grafova sličnim mehanizmom kao i kod neusmerenih grafova, ali usmerena DFS stabla imaju drugačije osobine, tj. postoji četiri tipa grana:

  1. grane stabla
  2. povratne grane
  3. direktne grane
  4. poprečne grane
Prve tri grane povezuju dva čvora grafa, tako da jedan je potomak drugog u DFS stablu.
Preciznije, grana stabla povezuje oca sa sinom.
Povratna grana povezuje potomka sa pretkom.
Direktna grana povezuje pretka sa potomkom.
Poprečne grane povezuju čvorove koji nisu srodnici u stablu i prema dokazanoj lemi sa predavanja, one moraju biti usmerene zdesna ulevo, te otud i naziv grana ulevo. Za DFS Stablo neusmerenog grafa, pak važi: grane povezanog neusmerenog grafa ne mogu biti poprečne grane za DFS stablo, tj. ne mogu povezivati čvorove na različitim putevima od korena.

Prema DFS odlaznoj numeraciji (tj. v.Post je redni broj čvora v pri odlaznoj numeraciji čvorova grafa u DFS obilasku grafa tj. to je redni broj čvora u redosledu napuštanja u izlaznoj obradi), za usmereno stablo važi:

  1. Ako grana (u,v) jeste grana stabla ili direktna, onda: v.Post < u.Post (jer, v je potomak od u)
  2. Ako grana (u,v) jeste poprečna, onda: v.Post < u.Post (jer, v je levo od u)
  3. Ako grana (u,v) jeste povratna i v!=u, onda: v.Post > u.Post (jer, v je pravi predak od u)
  4. Ako grana (u,v) jeste povratna i v==u (jer petlja jeste povratna grana), onda: v.Post = u.Post (jer, v je strogo predak od u) Dakle, za povratnu granu (u,v) v.Post >=u.Post

Lema1: Grana (u, v) usmerenog grafa G je povratna ako i samo ako prema odlaznoj numeraciji (DFS) čvor u prethodi čvoru v, tj. u.Post <= v.Post

<=
   Ako je grana (u,v) povratna, onda ona zajedno sa granama stabla na putu od u do v zatvara ciklus.

=>
   Takođe je tačno i suprotno tvrđenje: ako u grafu postoji ciklus, tada u njemu mora da postoji povratna grana.
Zaista, pretpostavimo da u grafu postoji ciklus koji čine grane (v1, v2), (v2,v3), . . . (vk, v1)
Ako k=1 (tj. ciklus je petlja), tada je grana (v,v) povratna.
Ako je k veće od jedan, pretpostavimo da nijedna od grana (v1, v2), (v2,v3), . . . (vk-1, vk) nije povratna.

Po Lemi 1, onda važi da v1.Post > v2.Post > . . . vk.Post,
odnosno vk.Post < v1.Post, pa je grana (vk,v1) povratna.
Time je dokazano da u svakom ciklusu postoji povratna grana.


 75. Dat je bipartitivni graf G čiji su čvorovi a, b, c, d, e, f, g odnosno 1, 2, 3, 4, 5, 6, 7 i čiji skup grana je
{(a,1), (a,2), (a,5), (b,1), (b,2), (b,6), (c,1), (c,2), (c,3), (c,7),  (d,1), (d,2), (e,1), (e,4), (f,5), (g,6)}.
Odrediti optimalno bipartitivno uparivanje.

 

PODSEĆANJE:

 

Za zadati neusmeren graf G, uparivanje je skup disjunktnih grana (grana bez zajedničkih čvorova).
 Čvor koji ne pripada niti jednoj grani uparivanja zove se neuparen čvor.
 Savršeno uparivanje je uparivanje u kom su svi čvorovi upareni.
 Optimalno uparivanje je uparivanje sa maksimalnim brojem grana. Ovaj zadatak se bavi jednim tipom optimalnog uparivanja.



Ako G=(V,E,U) jeste bipartitivni graf u kome V, U su disjunktni skupovi čvorova, E je skup grana koje povezuje neke čvorove iz V sa nekim čvorovima iz U.

Teorema o alternirajućem putu:
Bipartitivno uparivanje S jeste optimalno <= > u  grafu G  ne   postoje alternirajući putevi za   njega.

Alternirajuci put X za dato uparivanje S jeste put od neuparenog čvora v iz V do neuparenog čvora u iz U, pri čemu su grane puta X naizmenično u E\S, odnosno u S.
Tj. prva grana (v,x) puta X ne pripada S, jer v je neuparen, druga grana (x,y) pripada S i tako dalje do grane (z,u) puta X koja ne pripada S.
Teorema o alternirajućem putu određuje korake algoritma za pronalazak optimalnog bipartitivnog uparivanja. Naime, ma koje uparivanje koje nije optimalno ima alternirajući put, a alternirajući put proizvodi povećano uparivanje.  Dakle, na početku algoritma pronadje se uparivanje S dodavanjem grana dokle god je to moguće. Potom se pronadje alternirajući put za uparivanje S, a na osnovu njega se vrši povećavanje uparivanj sve dok nedobijemo novo uparivanje S za koje nema alternirajućih puteva. Dobijeno uparivanje je tada optimalno.

 

 

Dakle, neka je uparivanje M={(a,1), (b,2), (c,3),  (e,4), (f,5), (g,6)}.

Na slici je prikazano da zbog pronalaska alternirajuceg puta u G, usmeravamo grane G tako da one koje su u M budu udesno, a one koje nisu orjentisane su ulevo. Neupareni su čvorovi 7, d i pokušavamo da nadjemo put od 7 do d. Ali takav put ne postoji, jer od 7 se može samo do čvora c, a od njega dalje samo do čvora 3, ali ne i čvora d. Dakle, M je optimalno uparivanje.

 

  Može se do uparivanja M doći i ako se kao polazno uparivanje uspostavi uparivanje N={(a,5), (b,2), (c,3),  (e,4), (g,6)}, jer bi se uočio alternirajući put f, 5, a.

76. Dat je bipartitivni graf G čiji su čvorovi a, b, c, d, e, f, odnosno 1, 2, 3, 4, 5, 6 i čiji skup grana je
{(a,1), (b,1), (b,2), (b,3), (c,4), (d,3), (d,6), (e,4), (f,5), (f,6)}.
Odrediti optimalno bipartitivno uparivanje.

REŠENJE:

Za zadati neusmeren graf G, uparivanje je skup disjunktnih grana (grana bez zajedničkih čvorova).
 Čvor koji ne pripada niti jednoj grani uparivanja zove se neuparen čvor.
 Savršeno uparivanje je uparivanje u kom su svi čvorovi upareni.
 Optimalno uparivanje je uparivanje sa maksimalnim brojem grana. Ovaj zadatak se bavi jednim tipom optimalnog uparivanja.



Ako G=(V,E,U) jeste bipartitivni graf u kome V, U su disjunktni skupovi čvorova, E je skup grana koje povezuje neke čvorove iz V sa nekim čvorovima iz U.


Na primer, slika 5 prikazuje bipartitivni graf sa skupom čvorova koga čine dva disjunktna podskupa {1, 2} i {3, 4, 5}, gde svaka grana grafa povezuju čvorove iz različitih podskupova.
slika5
Slika5 Optimalno bipartitivno uparivanje M je uparivanje sa maksimalnim brojem grana u bipartitivnom grafu.

 

optimalno bipartitivno uparivanje

 



Neka je uparivanje S={ a-1, b-3, c-4, d-6}.
 Može se uočiti da postoji alternirajući put za ovo uparivanje i to je put a-1-b-3-d-6-f. Kako postoji alternirajući put=>ovo uparivanje u G  nije  optimalno.
 Granu b-3 i dodamo  nove grane b-2, f-6. Novo uparivanje S
={ a-1, b-2, c-4, d-3, f-6}.  Novo uparivanje nema aternirajućih puteva (jer bi  tačno jedan  takav   bio  e-4-c-5, ali on   ne može da se realizuje u G)=> uparivanje S jeste optimalno.   (broj grana u uparivanju je pet  i jeste optimalno ,  jer  postoji  tačno po jedna grana za čvor c, odnosno e i to do čvora 4)
 
 
 



Naslovna  Primene računara 

e-mail: Jelena Grmuša

Poslednja izmena: mart 2003.
URL: http://www.matf.bg.ac.yu/~jelenagr/op/v6.htm